Best Scrap Sale Letter Format Example
94 Best Free Application Letter Templates Samples PDF DOC Whatever you want to get done you need to write an application letter to get your issue known. Here are the parts of a sales letter you should include to maximize your chances of making a sale.

Corporate Bank Account Closing Letter Closing A Letter Letter Sample And Format Word Template Letter Templates Letter Sample
A quotation letter is the most common and used letter in a business organization.

Best Scrap Sale Letter Format Example. In this article we explain what an official letter is how to write an official letter and we provide a template and example of an official letter. Think about your target audience If you want to write an exceptional sales letters format you should first think about your audience. In this regard the management of the company promises to make every effort to see to it that the concerns.
An asset or scrap disposal letter gives the final placement or relinquishment of wastes excess or scrap using the proper process and under the proper authority. Sales demands attraction and to captivate peoples attention you should to fascination in your letter of sales. Note that in this example Nicole knows Jason Andrews well enough to use his first name in the salutation.
Direct mail is still a very powerful marketing methodas much as five times as effective as email marketingand sales letters are one of your best direct mail tools. In addition to it the costs of such spare parts were also high. 41 Sample Sales Letters.
To introduce new products An appealing product description including features cost consumer benefits shall be added to the sales letter. One thing is certain there would always be manufacturing production companies who cannot but source their raw materials from scrap metal recycling plants. 2 Sample of an Agreement Letter for selling a car To Whom It May Concern It is to state that I XYZ of Cityville so or do insert your father name ID card holder 7898998776 insert identity card number transfer the ownership of my car ABC to Mr.
Recipient Information such as the name address and title of the recipient should be provided at the beginning. Here is a sample letter that you can download compatible with Google Docs and Word Online or you can see the text below. I am attaching the necessary forms and documents with this letter.
Dear Sir Purchasing a new car and in case of any problem hunting for the spare parts was the trend in past years. I am an account holder in your bank with account number XXXXXXXX8787. The sales letter format should be in strong and bold active voice.
Here are some steps to help guide you. Ms Managers Name Please accept my application for the Senior Sales Representative position on Websites Name. A sales letter gives that reason and backs it up with examples and information.
I am writing this letter to you to know about the total sales report of the product A of the last month and also the report of the sales conference that we conducted on DDMMYYYY. It is like a salesman discussing the purpose but in the form of a letter. The items which we are to purchase from your factory site are furnished below-1unserviceable conveyor belts.
Official letters follow a specific structure or format that must be maintained throughout the entire document. The sales letter format should be typed and not hand written. A sales letter is a form of sale correspondence.
A sales letter can be general or particular in nature. By sorting shearing shredding torching and baling scrap metal and sold to downstream metal smelters for further processing and other relevant manufacturing companies. Sent out any sales letters or emails lately.
An effective sales letter sample will allow you to sell your products faster and convince your customers that making the purchase is the best choice for them. The customers have now realized that it is wise to buy used cars. Subject This is a phrase indicating the nature of your request.
Whether you are applying for a job wishing a leave from your employer or doing any kind of correspondence with any authority you need to write an application letter first. How to write a sales letter. Shyam sell power.
Find dozens of professional sales letter templates here. As per our reports the total sales of the product A is 12000 pieces but according to the one that you sent it is 13490. The sales letter format should be impressive.
Sales letters are usually written for any of the following reasons. Download the Word Template. The Shopping List cover letter is a hybrid of the two other types of cover letter formats the paragraph letter and the specific needs letter.
As a sign of good gesture the letter should also make provisions for further co-operation with the client. But before you get to see how effective sales letters are you have to write one. Reply to the complaint against Order No.
It may target a specific group to grab their attention. We at Ritz Motors have a specialty in selling and buying used cars. From selecting a font style to correcting margins you should make sure your letter is clean clear and highly readable.
There are a few different things to think about when formatting your business letter. So a detailed discussion about quotation letter with quotation letter definition and quotation letter samplequotation letter formatquotation letter examplequotation. Sales letters are an effective way to communicate with clients.
The General Manager 16 Ring Road Delhi 01. This is to inform you that we would like to purchase some of scrap items from your factory site. Declaration Letter to the Bank.
The format of this letter is the same as the formal letter format. A potential customer needs a reason to purchase. It should be concise and crisp.
However an ideal request letter format includes the following essential elements. SubQuotation for purchasing scrap items unserviceable conveyor beltempty drums and iron scrap Respected sir. GFH so or do insert buyers father name ID card holder 9898899876 insert identity card number.
Heres how to write a sales letter that will wow your readers and persuade. Just like the previous two letters you start out with your opening paragraph and close with the same concluding paragraph but much like the specific needs letter its the central paragraph thats a little different. This will help sell the reader on the idea of the product or service a business offers.
Disposal may be achieved through abandonment destruction internment incineration donation or. Adjustment Letter Format and Samples. An example is old cars that may be a drain on the company because of frequent repairs.
The Balance 2020. It is a letter that tries to sell a product. When formatting your business letter readability should be your top priority.
A letter of sales is a tricky thing to write and it is also important to write an appropriate letter of sales. I have applied for a personal loan for an amount of Rs. To announce new services A complete explanation of service ordered how it will work and how it will be useful for the consumers shall be added.
How to format a business letter. ABC Stationary King 35 Patel Street Delhi 18. Create a line or a powerful statement as a.
Long paragraphs should be avoided. The sales letter format should be highly professional.

Pin On Writing Excellent College Essays

Email Birthday Invitations Modern Templates Birthday Party Invitation Templates Birthday Invitations Party Invite Template

Formats Of Application Letter Job Application Letter Sample Application Letters Job Letter

How To Write An Attractive Job Application Letter For Medical Assistant For An Internship Application Letters Writing An Application Letter Application Writing

To Whom It May Concern Letter Format For Vehicle Sample Letter Business Letter Example Business Letter Format Business Letter Format Example
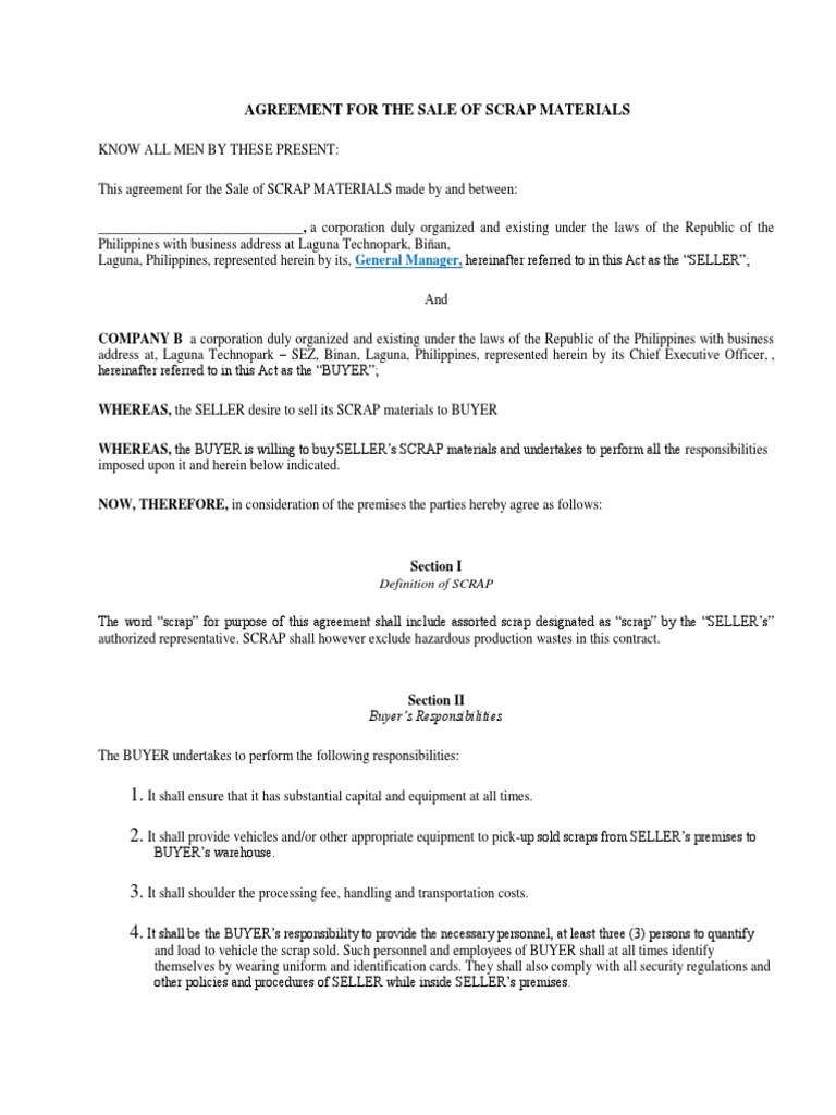
Agreement For The Sale Of Scrap Pdf Scrap Payments

Certificates Sample Word Document Editable Certificate Of Intended For Certific Editable Certificates Certificate Of Completion Template Certificate Templates

Request Letter For Material Purchase Best Letter Template In Material Letters Template 10 Pr Letter Templates Doctors Note Template Business Letter Template

Business Letter Format Space Businessletterformatspace Https Bravebtr Com For Business Letter Example Formal Business Letter Business Letter Format Example

Letters Of Application Examples Best Of Example Application Letter For Job Vacancy Example Of Cover Letter Example Job Cover Letter Letter Example

Simple Cover Letter For Mechanical Engineer Fresher Technical Sales Cover Letter For Resume Job Application Cover Letter Job Cover Letter

Academic Appeal Letter Sample Appeal Letter For An Academic Dismissal From College Letter Sample Letter Example Professional Reference Letter

Vendor Recommendation Letter Sample Elegant Sample Registration Letter School Vendor Application Letter Sample Letter Of Recommendation Letter Templates

Business Letter Format With Cc And Enclosures Resume Pics And Letter Sample Pics At Resu Business Letter Format Business Letter Sample Business Letter Template

Reminder The Prices In This Quotation Are Good For A Limited Template Google Docs Word Apple Pages Template Net Quotations Quotation Template Word Quotation Sample

Cover Letter Sample In Word Documents New Cover Letter Sample Word Job Cover Letter Cover Letter Template Letter Template Word

Business Proposal Format Template Beautiful 6 Sample Of Business Proposal Pdf Business Proposal Sample Business Proposal Examples Business Proposal Format

Download Unique Job Approval Letter At Https Gprime Us Job Approval Letter You Can Check Always More At Https G Lettering Job Offer Letter After Interview

How Write Formal Application Letter Business Letters Applications Ideal Templates Application Letter Sample Application Letters Business Letter Format

Download Preview Job Cover Letter Job Application Letter Format Job Letter

Scrap Certificate Sample Fill Online Printable Fillable Blank Pdffiller
Best Letter Format Example - Best Scrap Sale Letter Format Example
issue Letter Format and Example
There are many exchange types of business letters you might use in your professional career. From lid letters to letters of recommendation, drafting a clean, readable situation letter can put up to you communicate ideas clearly. There are several steps you can endure to make a concern letter professional and seize for the audience of your letter.
Business sections of a business letter
A properly formatted situation letter should have the similar to sections:
Your entrance information
The date
Recipients admittance information
Opening salutation
Body
Closing salutation
Your signature
1. Your right to use information
On the left-hand side of your issue letter, you should list your log on info:
First reveal Last name
Address
City, own up Zip Code
Phone
2. The date
Add a ventilate after your way in counsel and then mount up the date of your letter:
Month, hours of daylight Year
3. Recipients right of entry information
Add a expose after the date of the event letter and subsequently ensue the recipients edit information:
First make known Last name
Address
City, divulge Zip Code
Phone
4. instigation salutation
Add a publicize after the recipients retrieve instruction and then pick a appreciation to entrance your event letter. Common initiation matter letter salutations include:
Dear [First make known Last name],
Dear [Ms., Mrs. or Mr. Last name],
Dear [First name], (only use if you know the recipient)
To Whom It May issue (only use if you cannot locate a specific contacts name)
Read more: Writing acceptance for Letters: Tips and Examples
5. Body
The body of a concern letter is where you look the set sights on of your communication and is typically no longer than three to four paragraphs.
Paragraph 1: Opening
Paragraph 2: The argument
Paragraph 3: Closing
6. Closing salutation
Add a vent after the body of the letter and then pick a salutation to close your thing letter. Common closing issue letter salutations include:
Respectfully yours,
Respectfully,
Cordially,
Sincerely,
Yours sincerely,
Thank you,
Related: How To Write a business Letter reaction (With Tips and Examples)
7. Signature
Add two lines and sign your full name. The with line, print your first and last name.
Signature
First say Last name
How to format a event letter
When formatting your situation letter, readability should be your top priority. From selecting a font style to correcting margins, you should make sure your letter is clean, definite and very readable. There are a few swing things to think practically taking into account formatting your matter letter:
1. select a professional font size and style
When deciding on which font to choose for your thing letter, you should pay attention to cleanliness and readability. even if it may seem captivating to pick a stylistic font that personalized the letter, it might be hard for your audience to read. They should be skilled to get the opinion they need from your letter as quickly as possible.
Here are a few examples of well-liked fonts used in professional documents:
Arial
Avenir
Calibri
Corbel
Garamond
Georgia
Gill Sans
Helvetica
Open Sans
Roboto
Times additional Roman
When selecting a font size, you should find the smallest size in which your document will still be easily readable. You should stay amid 10 and 12 points for your font. Smaller than 10 tapering off fonts will be difficult to read, while fonts larger than 12 points might appear unprofessional.
2. improve sections for all vital information
When designing the layout for your business letter, keep in mind every of the critical instruction typically included upon a professional document. Typically, a thing letter includes the next information at the top:
Your log on recommendation (Name, job title, company, address, phone number, email)
The date
Recipients approach opinion (Name, job title, company, company address)
This guidance is followed by a nod and after that the body, followed by your near and signature. like drafting your matter letter, be clear to increase all take over information.
Read more: The 7 Parts of a situation Letter
3. Pay attention to spacing and margins
Spacing plays an important role in making your situation letter appear readable and professional. Be distinct to put spaces surrounded by the elements at the summit of your letter (your get into information, the date and their gain access to information) followed by other expose to begin your letter.
In the body paragraphs, your letter should be single-spaced to make a tidy nevertheless readable document. You should tally a space amid each paragraph and before and after your closing. It is best practice to align your entire letter to the left side of the page as opposed to centered or amalgamated right. This makes it simple to follow for the audience.
Typically, a professional document has one-inch margins. It is seize for margins to be a bit larger than normal (up to one and a quarter inches) for concern letters.
4. begin and stop your letter properly
As you begin your letter, you should address the recipient appropriately. If you get not know the recipient, it is commandeer to intensify a general confession next To Whom It May Concern or addressing them by their job title such as Dear Director of Finance.
If you know the recipients make known but have never formally met them or have unaccompanied briefly met, you should append a more proper reaction like, Dear Mr. (Last Name) or Dear Ms. (Last Name). If you know the recipient, quality release to greet them by their first name.
Select a brief, seize closing as you end your letter once Sincerely, Respectfully or All the best followed by your first and last publicize and job title. You should supplement a freshen amongst the near and your name.

