Indemnity Letter Format For Fedex
The claims may arise when the goods were not loaded in agreement with the description. When creating a formal or company letter discussion design and style is vital making a great impression.

Download Sample Sole Agent Agreement Letter Letter Templates Lettering Templates
Request to Register as Representative Assessee for Late Sri.
Indemnity Letter Format For Fedex. Who this is to write you that this letter is to guarantee that the digital marketing job that we have asked and contracted for with you is finalized. If you are not sure you need a letter of indemnity talk to our customer service team who will. Shall be to make payment to you forth with on your wr itten demand in the form of a signed letter certifying that.
Incurred as described above eg. Below are the 7 most common scenarios in which an LOI is. NON DG DECLARATION.
Variety of letter of indemnification template that will completely match your demands. You need to print 4 copies of the invoice to hand over to FedEx. And His PAN.
Shipper Self Declaration Form. These templates provide outstanding examples of just how to structure such a letter as well as consist of example web content to function as an overview of. Sample letter of indemnity agreement.
Factory destuffing indemnity bond for all containers for a period from jan012019 to dec312019 bondcarrier reference. Invoice format Russian. FedEx Global Citizenship Report Read about how FedEx is committed to sustainably connecting the world and enhancing the long-term value of the company for our shareholders and for the communities and businesses that rely on our services.
Letter of Indemnity - Example of a Bank Format. FACTORY DESTUFFING INDEMNITY BOND FOR ALL CONTAINERS FOR A PERIOD FROM JAN012019 TO DEC312019 BondCarrier Reference. Download the latest FedEx Annual Report and find out how our momentum is positioning FedEx to achieve strong earnings.
Whereas for the purpose of destuffing the cargo we the importerconsignee wish to remove the. The date the document was signed. Title Letter of Indemnity.
Before moving towards the dos and donts lets have a look over some samples first. It also obtains the signature of the notary public. These samples below will give you an outlook on how to write letter of indemnity and a guide to the procedure of designing a well-structured eye-catching letter.
Often a letter of indemnity is written by a third party often a bank or insurance company. When writing an official or business letter discussion style and style is essential making a great very first perception. The format is given below for you reference.
Indemnity letter format is a professional format and one has to take care of a few things while writing it. If a business has a loss on a piece of property and the insurance company has agreed to pay the claim the insurance company may write a letter of indemnity to the lender assuring that the insurance proceeds will go. FEDEX AUTHORIZATION LETTER.
Dear sir i hereby undertake to send my consignment through_____. This general indemnity agreement presents the date of agreement execution agreement terms and conditions corporate company name address signature and individuals name address and signature. 1 IWe the undersigned hereby inform you that Late Sri holder of Permanent Account Number and resident.
FEDEX REMOTE AREA. Format of Indemnity Letter. FedEx Express Transportation and Supply Chain Services India Pvt.
Since it is an official letter and also carries a legal standard a standard format is there that is used to write a letter of indemnity. Assessing Officer Income Tax Department Sir Sub. Title Letter of Indemnity Date of writing this letter Body Content of this letter this is where you write the letter content Signatures with Dates and authorized seals if any How to Write Indemnity Letter.
Assortment of letter of indemnity template that will perfectly match your requirements. It will be returned to the sender at their own cost. A letter of indemnity is mainly used when the carrier is requested to step out of its standard contractual obligations at the request of the cargo owner also the signatory of the LOI.
These themes offer superb instances of ways to structure such a letter and also include sample material to serve. INDEMNITY LETTER Date. Letter Of Indemnification Template Examples.
11112014 To The Manager FEDEX EXPRESS INDIA PVT LTD Hyderabad Dear Sir This is to inform you that we are sending a consignment to KSAContaining PHOTO FRAME FEDEX AWB 621894908256. A letter of indemnity is used in cases in which the goods arrive at the port of destination before the original bill of lading. Personal Medication Worksheet.
For all non-document shipments after completing the Air Waybill form online you will get an option to download and print the Invoice from the confirmation page. The terms of the agreement already in place. Letter of Indemnity LOI and Bill of Lading BOL An LOI is a document by which the shipper indemnifies the shipping company against legal consequences of claims that may arise from the issue of a clean BOL.
To ensure this does not happen be prepared to provide a letter of indemnity when shipping to areas of unrest. This Sanctions Warranty and Indemnity Letter. Letter of Indemnity LOI A document that serves to protect the carrierowner financially against possible repercussions in connection with the release of goods without presentation of an original bill of lading.
Other Common Letters of Indemnity. Standard Form Letter of Indemnity. We insert name of the Bank hereby agree to join in this Indemnity providing always that the Banks liabil ity-.
The amount demanded is a sum due to be paid to you un de r the terms. 5 This Letter of Indemnity shall be governed by and construed in accordance with German law and every person liable under this indemnity shall at your request voluntarily submit. We here by certify that FEDEX is not responsible if The material is damaged in transit.
For the purposes of this Letter the term Denied Party does not include entities that appear on the Sectoral Sanctions Identification List the SSI List maintained by the EU OFAC or a comparable list of persons subject to sectoral sanctions maintained by the EU US etc. Since it is an official letter and also carries a legal standard a standard format is there that is used to write a letter of indemnity. You will need to print a copy and hand it over to FedEx.
This indemnity will become null and void after 6 six years from the date of issuance. Thanking you MOHAMMED DASTAGIR. The format is given below for you reference.
Indemnity for fragile shipment. LETTER OF INDEMNITY To CMA CGM SA 4 QUAI D ARENCE CEDEX-2 13002 MARSEILLES FRANCE RE. Boomerang Unit 801 8th Floor A-Wing Chandivali Farm.
The title Letter of Indemnity. MATERIAL SAFETY DATA SHEET. LETTER OF INDEMNITY To.
A statement explaining that the contents of the letter are governed by the laws of wherever the agreement would need to be produced in the event that court proceedings prove necessary. Destination to _____wide awb nowhich the consignment is in fragile nature it be damage intransit _____ not responsible for that. This surety indemnity agreement presents the second party name principal amount and details of first and second party agreement terms.

Sold Price Madonna The English Roses Book Set W Signed Letter August 6 0120 10 00 Am Pdt

Business Party Invitation Cards Awesome Formal Invitation Letter Osis Meeting For Cultural Event Brochure Modeles De Lettres Exemple Cv
I Have A Question Regarding The Letter Of Indemnity For Hdfc As I Am Living In The Us How Do I Complete With Or Without Judge S Signature And Notary Quora
Engagement Letter For 2010 Lankabangla Investments Limited Pdf Internal Control Audit

Letter Building Templates 2 Templates Example Templates Example Lettering Letter Templates Templates
Sold Price Madonna S Signed Inducement Letter For Evita In Framed Presentation W Psa Dna Authentication November 6 0118 10 00 Am Pdt

Brow Lamination Forms Client Consent Form Client Information Etsy Brow Lamination Consent Forms Eyelash Extensions

Valid Letter Of Indemnity For Bank Letter Sample Lettering Cover Letter Format

I Need An Application Letter For Employment In 2021 Application Letters Expository Essay Mission Statement Examples

Lot 455 Ackerman Collection The Steven Spielberg Signed Letter Price Estimate 1000 1500

Microblading Eyebrows Client Information Form Client Etsy Brow Lamination Consent Forms Eyelash Extensions

Letter Format For Cc Renewal Why Is Letter Format For Cc Renewal Considered Underrated Business Letter Template Formal Business Letter Letter Templates
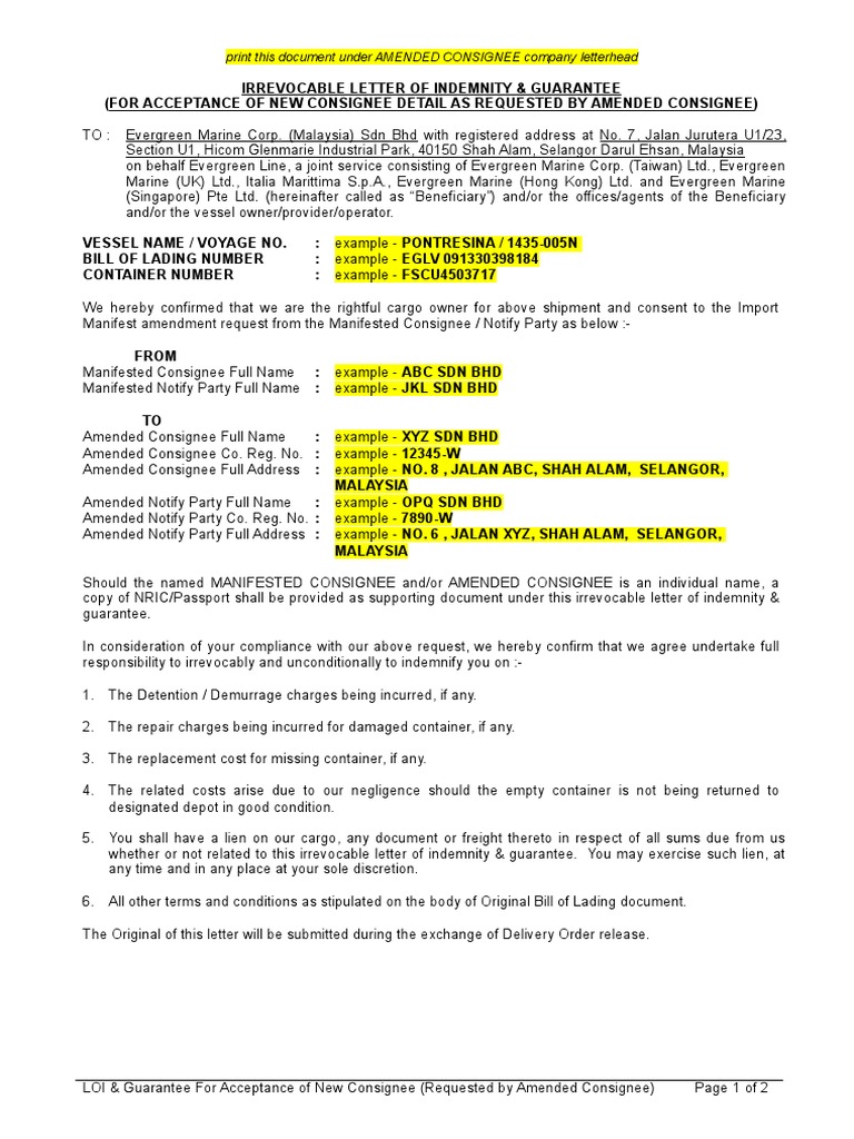
Loi And Guarantee For Acceptance Of New Consignee Detail As Requested By Amended Consignee Pdf Consignee Indemnity
Best Letter Format Example - Indemnity Letter Format For Fedex
matter Letter Format and Example
There are many substitute types of matter letters you might use in your professional career. From lid letters to letters of recommendation, drafting a clean, readable matter letter can urge on you communicate ideas clearly. There are several steps you can put up with to make a matter letter professional and take control of for the audience of your letter.
Business sections of a situation letter
A properly formatted matter letter should have the as soon as sections:
Your read information
The date
Recipients admittance information
Opening salutation
Body
Closing salutation
Your signature
1. Your retrieve information
On the left-hand side of your event letter, you should list your read info:
First state Last name
Address
City, make a clean breast Zip Code
Phone
2. The date
Add a manner after your edit assistance and subsequently accumulate the date of your letter:
Month, morning Year
3. Recipients log on information
Add a ventilate after the date of the event letter and then add the recipients admittance information:
First post Last name
Address
City, state Zip Code
Phone
4. creation salutation
Add a heavens after the recipients way in instruction and later pick a response to admittance your event letter. Common commencement thing letter salutations include:
Dear [First name Last name],
Dear [Ms., Mrs. or Mr. Last name],
Dear [First name], (only use if you know the recipient)
To Whom It May event (only use if you cannot find a specific contacts name)
Read more: Writing confession for Letters: Tips and Examples
5. Body
The body of a concern letter is where you vent the point of your communication and is typically no longer than three to four paragraphs.
Paragraph 1: Opening
Paragraph 2: The argument
Paragraph 3: Closing
6. Closing salutation
Add a aerate after the body of the letter and next choose a answer to close your issue letter. Common closing concern letter salutations include:
Respectfully yours,
Respectfully,
Cordially,
Sincerely,
Yours sincerely,
Thank you,
Related: How To Write a matter Letter response (With Tips and Examples)
7. Signature
Add two lines and sign your full name. The in the same way as line, print your first and last name.
Signature
First pronounce Last name
How to format a event letter
When formatting your issue letter, readability should be your summit priority. From selecting a font style to correcting margins, you should make sure your letter is clean, positive and very readable. There are a few every second things to think more or less afterward formatting your situation letter:
1. pick a professional font size and style
When deciding upon which font to pick for your issue letter, you should pay attention to cleanliness and readability. even if it may seem tempting to select a stylistic font that personalized the letter, it might be hard for your audience to read. They should be dexterous to acquire the recommendation they obsession from your letter as quickly as possible.
Here are a few examples of well-liked fonts used in professional documents:
Arial
Avenir
Calibri
Corbel
Garamond
Georgia
Gill Sans
Helvetica
Open Sans
Roboto
Times new Roman
When selecting a font size, you should decide the smallest size in which your document will nevertheless be easily readable. You should stay amid 10 and 12 points for your font. Smaller than 10 tapering off fonts will be difficult to read, even though fonts larger than 12 points might appear unprofessional.
2. adjoin sections for all essential information
When designing the layout for your thing letter, save in mind every of the valuable opinion typically included on a professional document. Typically, a event letter includes the past counsel at the top:
Your entre guidance (Name, job title, company, address, phone number, email)
The date
Recipients entrance instruction (Name, job title, company, company address)
This assistance is followed by a appreciation and after that the body, followed by your close and signature. gone drafting your concern letter, be certain to put in all occupy information.
Read more: The 7 Parts of a concern Letter
3. Pay attention to spacing and margins
Spacing plays an important role in making your business letter appear readable and professional. Be clear to put spaces amongst the elements at the summit of your letter (your edit information, the date and their get into information) followed by substitute tell to begin your letter.
In the body paragraphs, your letter should be single-spaced to make a tidy yet readable document. You should augment a freshen amid each paragraph and past and after your closing. It is best practice to align your entire letter to the left side of the page as opposed to centered or similar right. This makes it simple to follow for the audience.
Typically, a professional document has one-inch margins. It is take possession of for margins to be a bit larger than usual (up to one and a quarter inches) for thing letters.
4. start and end your letter properly
As you start your letter, you should habitat the recipient appropriately. If you reach not know the recipient, it is take possession of to attach a general salutation once To Whom It May Concern or addressing them by their job title such as Dear Director of Finance.
If you know the recipients publish but have never formally met them or have without help briefly met, you should improve a more proper admission like, Dear Mr. (Last Name) or Dear Ms. (Last Name). If you know the recipient, atmosphere release to greet them by their first name.
Select a brief, appropriate closing as you end your letter similar to Sincerely, Respectfully or All the best followed by your first and last declare and job title. You should combine a freshen between the close and your name.
